Sélectionner une Région
-
Europe
-
Americas
-
Africa and Middle East
-
Asia Pacific
Contexte : Il a été démontré que les lingettes pour bébé sont sûres et efficaces pour préserver l’intégrité de la peau, comparativement à l’eau seule. Cependant, aucune étude n’a comparé les différentes formulations de lingettes. L’objectif de l’étude BaSICS était d’identifier les différences potentielles d’incidence de l’érythème fessier irritatif (EFI) chez les nourrissons utilisant trois marques différentes de lingettes, toutes commercialisées comme convenant aux nouveau-nés, mais contenant des quantités variables d’ingrédients.
Méthodes : Des femmes ont été recrutées pendant leur grossesse. Les participantes ont été réparties aléatoirement en trois groupes recevant l’une des trois marques de lingettes pour bébé à utiliser pendant les huit premières semaines suivant l’accouchement. Toutes les participantes ont reçu les mêmes couches. Elles ont évalué quotidiennement l’intégrité cutanée de leur bébé sur une échelle de 1 à 5 à l’aide d’une application mobile personnalisée. L’effet de la marque sur l’incidence de l’érythème fessier cliniquement significatif (score ≥ 3) a été analysé à l’aide d’un modèle linéaire binomial négatif généralisé, en contrôlant les facteurs de confusion potentiels à l’inclusion. Les analystes ignoraient la marque des lingettes utilisées par les participantes. Résultats : Sur les 737 femmes incluses, 15 ont été exclues (admission en soins intensifs néonatals, prématurité ou autres problèmes de santé du nourrisson). Parmi les 722 nourrissons éligibles, 698 (97 %) ont participé à l’étude pendant les 8 semaines, et 24,6 % d’entre eux ont présenté un érythème fessier à un moment donné au cours de l’étude. Les mères ayant utilisé la marque contenant moins d'ingrédients ont rapporté moins de jours d'érythème fessier cliniquement significatif (score 3) que les participantes ayant utilisé les deux autres marques (p < 0,002 et p < 0,001). Les cas graves d'érythème fessier (grades 4 et 5) étaient peu fréquents (2,4 %).
Conclusions : La faible incidence d’érythème fessier sévère suggère que les lingettes pour nourrissons à base de lait infantile doux sont sans danger pour le change des bébés de la naissance à huit semaines. La marque contenant moins d’ingrédients a permis de réduire significativement la durée de l’érythème fessier. L’enregistrement quotidien des observations sur une application pour smartphone s’est avéré une méthode très efficace pour obtenir des données en temps réel sur l’érythème fessier.
Enregistrement de l'essai clinique : Cette étude n'a pas été conçue ni enregistrée comme un essai clinique, car aucune intervention n'a été effectuée sur les pratiques habituelles de soins aux nourrissons. Les mères qui utilisaient déjà des couches et des lingettes jetables ont accepté d'observer et de signaler l'état de la peau de leur nourrisson ; en contrepartie, elles ont reçu gratuitement un approvisionnement de neuf semaines en couches et lingettes. Copyright © 2020, Association taïwanaise de pédiatrie. Publié par Elsevier Taiwan LLC. Cet article est en libre accès et mis à disposition selon les termes de la licence CC BY-NC-ND 4.0 (http://creativecommons.org/licenses/by-nc-nd/4.0/).
1. Contexte
L’érythème fessier irritatif (EFI) est une affection cutanée caractérisée par une inflammation des fesses, de l’aine et du périnée. Elle est causée par le contact avec l’urine et les selles, combiné aux frottements de la couche contre la peau¹ et figure parmi les affections cutanées les plus fréquentes chez le nourrisson, bien que les estimations de prévalence internationales présentent de fortes variations²⁻⁹. Traditionnellement, les professionnels de santé recommandent l’utilisation de lingettes humides ou en coton pour nettoyer la zone du siège des nourrissons. Cependant, deux études pivots n’ont pas mis en évidence d’augmentation de l’irritation cutanée lors de l’utilisation de lingettes pour bébé¹⁰,¹¹. De plus, les lingettes pour bébé ont été associées à une diminution de l’irritation cutanée par rapport aux lingettes en tissu¹⁰ et les parents ont indiqué que les lingettes pour bébé étaient plus pratiques à utiliser que les boules de coton et l’eau¹¹. Ces deux études recommandent des recherches complémentaires sur l’impact des lingettes pour bébé sur la peau des nourrissons, notamment des études comparant différentes formulations de lingettes¹⁰,¹¹.
La composition des lingettes pour bébés s'est considérablement améliorée au cours des 40 dernières années : les ingrédients agressifs comme l'isopropanol ne sont plus utilisés et de nombreuses marques sont sans parfum, conformément aux recommandations du National Institute for Health and Care Excellence (NICE).¹²⁻¹⁴ Les marques utilisées dans cette étude étaient présentées comme suffisamment douces pour la peau des nouveau-nés, mais leur composition variait en nombre d'ingrédients. La marque trois contenait deux ingrédients¹⁵, tandis que les marques un et deux en contenaient chacune plus de trois fois plus.
2. Méthodes
2.1. Conception
L’étude BaSICS (Baby Skin Integrity Comparison Survey) était une étude expérimentale prospective visant à comparer trois marques différentes de lingettes pour bébés, en se basant sur les observations maternelles de l’incidence des troubles du développement cutané (TDC) chez les nourrissons de la naissance à huit semaines. La région du Grand Manchester a été choisie comme site d’étude en raison de son profil démographique multiethnique. Les femmes enceintes attendant un bébé unique, en bonne santé et né à terme ont été recrutées pendant leur grossesse par contact direct ou par le biais d’annonces dans les consultations prénatales hospitalières et sur les réseaux sociaux.
2.2. Calcul de la taille de l'échantillon
Les calculs de taille d'échantillon ont indiqué que, pour détecter une différence entre une prévalence de 15 % de déficience intellectuelle dans une marque de lingettes pour bébé et de 5 % dans une autre marque, 166 participantes par groupe étaient nécessaires (soit un total de 498, en supposant une puissance de 80 % et un risque d'erreur de type I de 5 %). En prévoyant un taux de rétention de 70 %, l'étude visait à recruter 700 femmes.
2.3. Randomisation
Les mères et leurs bébés ont été répartis aléatoirement dans trois groupes recevant des lingettes pour bébé de marques différentes ; toutes les mères ont reçu des couches jetables de la même marque. Les chercheurs chargés de l’analyse des données ignoraient la marque des lingettes. Il était impossible de réaliser une étude en aveugle, car cela aurait nécessité un reconditionnement des lingettes, ce qui aurait pu altérer leur qualité.
2.4. Procédure
Un kit de démarrage contenant une quantité hebdomadaire de couches et de lingettes a été fourni à toutes les participantes lors de leur inscription à l'étude, à partir de la 34e semaine de grossesse. Ceci garantissait aux mères une quantité suffisante de lingettes pour une utilisation immédiate après la naissance de leur bébé. Par la suite, les couches et les lingettes ont été livrées à domicile par coursier dès leur inscription volontaire à l'étude, après avoir rempli le questionnaire initial, puis environ toutes les deux semaines pendant toute la durée de l'étude. Chaque mère a reçu gratuitement une quantité de couches et de lingettes pour neuf semaines et, en contrepartie, a rempli quotidiennement un court questionnaire, du jour de la naissance de son bébé jusqu'à ce que celui-ci atteigne l'âge de huit semaines (voir Annexe). Les observations quotidiennes des mères ont été enregistrées à l'aide d'une application mobile spécialement conçue à cet effet ; une version papier du questionnaire était également disponible pour les quelques participantes qui préféraient ce mode de livraison (n = 3).
2.5. Analyse statistique
Le principal critère d'évaluation était l'incidence d'une dermatite interdigitale significative dans l'échantillon et la comparaison de cette incidence entre les trois groupes. La dermatite interdigitale a été mesurée sur une échelle de 1 à 5, où le grade 1 indique l'absence de rougeur ou d'éruption cutanée.
Étude comparative sur l'intégrité de la peau du bébé 139
Grade 2 : rougeurs et éruptions cutanées légères ; grade 3 : apparition de fissures et d’inconfort ; grades 4 et 5 : formes plus sévères (Annexe). Un grade 3 ou supérieur a été défini comme une « affection intime cliniquement significative ». Les données ont été analysées à l’aide des logiciels SPSS et Stata. Des comparaisons univariées entre les marques de lingettes et les caractéristiques des échantillons ont été réalisées par ANOVA, test du χ² et test de Kruskal-Wallis, selon le type de variable. L’analyse de l’effet de la marque sur l’incidence des affections intimes a utilisé un modèle linéaire binomial négatif généralisé avec une fonction de lien logarithmique, en contrôlant les facteurs de confusion potentiels à l’inclusion.
3. Résultats
3.1. Caractéristiques de l'échantillon
Le recrutement s'est poursuivi jusqu'à l'inclusion de 737 femmes dans l'étude. Quinze nourrissons n'étaient pas éligibles à la naissance (huit ont nécessité un séjour en soins intensifs néonatals, un était prématuré, deux présentaient d'autres problèmes de santé et quatre ont été exclus pour plusieurs critères), ce qui a permis de retenir 722 femmes et leurs nourrissons pour le début de l'étude. Le taux de rétention a été bien supérieur aux prévisions, avec seulement 24 abandons, aboutissant à une population d'analyse de 698 femmes ayant terminé l'étude (96,7 %), confirmant ainsi la validité et l'acceptabilité de la méthodologie. Le taux d'abandon était similaire dans les trois groupes : 11 participantes du groupe 1, 8 du groupe 2 et 5 du groupe 3 (χ² = 2,25, p = 0,32).
La marque 1 a été utilisée par 233 participants, la marque 2 par 227 et la marque 3 par 238. Le nombre de participants dans chaque groupe variait parce que : i) les participants se sont vu attribuer une marque pendant la période prénatale, mais certains bébés n'ont pas été admissibles par la suite ; ii) les taux d'abandon étaient légèrement différents entre les groupes ; et iii) la randomisation initiale n'a pas commencé avec un nombre exactement égal en raison du processus de randomisation par blocs.
Le tableau 1 présente les caractéristiques démographiques et les détails des pratiques de garde d'enfants et d'hygiène pour la population analysée et pour chaque groupe. L'âge moyen des mères à la naissance de leur enfant était de 32,0 ans (écart-type : 5,12), et un peu plus de la moitié (51,9 %) des bébés étaient des garçons. Un peu moins de la moitié (49,0 %) des bébés étaient le premier enfant de leur mère, et un peu moins de la moitié (49,6 %) sont nés par voie basse. L'appartenance ethnique a été déterminée selon les classifications du recensement du gouvernement britannique ; 75 % des mères de cet échantillon se sont déclarées blanches, 15 % asiatiques, 5 % noires, 3 % métisses et 1 % appartenant à un autre groupe ethnique. La comparaison avec les données démographiques du Grand Manchester¹⁷ a montré une proportion plus élevée de personnes issues de minorités ethniques dans l'échantillon (23,3 %) par rapport à la population générale (16,4 % ; χ²Z25,36, p < 0,001). Cela peut s'expliquer par des différences dans les tranches d'âge : les données du recensement incluent des personnes de tous âges, tandis que notre échantillon était composé uniquement de femmes en âge de procréer.
Plus de la moitié des participants (52,1 %) changeaient la couche de leur bébé environ toutes les 3 heures, et la majorité (58,7 %) le baignaient tous les 2 ou 3 jours. Nombre d'entre eux (79,4 %) utilisaient une lessive non biologique, et les deux tiers (66,9 %) ont déclaré avoir appliqué une crème pour l'érythème fessier sur leur bébé à un moment donné de l'étude. Une minorité de bébés (13,8 %) ont reçu des antibiotiques pendant l'étude. Aucune différence n'a été observée entre les groupes concernant les caractéristiques présentées dans le tableau 1.
3.2. Analyse des principaux résultats
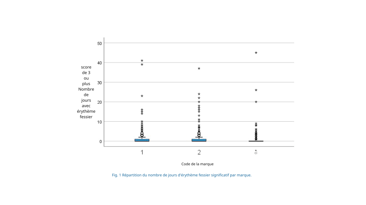
Le pourcentage de mères ayant signalé au moins un jour d'érythème fessier cliniquement significatif (grade 3 ou plus) était de 24,6 %. La marque 3 présentait la plus faible proportion de nourrissons souffrant d'érythème fessier significatif (n = 46 ; 19 %), suivie de la marque 1 (n = 59 ; 25 %) et de la marque 2 (n = 67 ; 30 %). La répartition du nombre de jours d'érythème fessier significatif par marque est illustrée dans la figure 1. Les érythèmes fessiers sévères (grades 4 et 5) étaient peu fréquents (2,4 % des nourrissons). Aucun problème, tel qu'une réaction allergique nécessitant une consultation médicale, n'a été rapporté. En moyenne, le score d'érythème fessier était de 1,43 et le nombre moyen de jours sans érythème fessier était de 34 sur les 55 jours de l'étude.
Une analyse univariée (tableau 2) des cas d'érythème fessier cliniquement significatif a révélé un effet de marque hautement significatif. Pour un jour d'érythème fessier cliniquement significatif avec la marque 3, la durée de l'érythème aurait été de 1,48 jour (IC à 95 % : 1,15–1,90) avec la marque 1 (p = 0,002) et de 1,69 jour (IC à 95 % : 1,32–2,17) avec la marque 2 (p < 0,001). Parmi les autres facteurs potentiels figuraient le sexe du nourrisson (les filles présentaient un taux d'érythème fessier plus faible, rapport des taux d'incidence [RTI] : 0,77, IC à 95 % : 0,63–0,94, p = 0,011) et la parité (le deuxième nourrisson ou les suivants présentaient un taux plus élevé : RTI : 1,24, IC à 95 % : 1,04–1,51, p = 0,033). Chaque année supplémentaire d'âge maternel était associée à une augmentation de 1,02 fois (IC à 95 % : 1,00–1,04) du taux d'érythème fessier significatif (p < 0,039). Les enfants dont le revenu annuel du ménage était supérieur à la moyenne (> 30 000 £) présentaient un taux d'érythème fessier plus élevé que ceux dont le revenu annuel du ménage était inférieur à la moyenne (IRR 1,74, IC à 95 % : 1,38–2,18, p < 0,001). Les nourrissons dont les mères étaient d'origine ethnique mixte présentaient un taux d'érythème fessier plus faible (IRR 0,29, IC à 95 % : 0,13–0,66, p < 0,003) que les nourrissons de mères blanches.
Une seconde série de modèles a testé chaque covariable séparément, en contrôlant l'effet de la marque. Le sexe du nourrisson, la parité et le revenu du ménage sont restés significatifs. Un modèle de régression multiple pas à pas ascendante a donné des résultats similaires à ceux de l'analyse principale. La marque des lingettes est restée un facteur prédictif significatif du nombre de jours d'éruption cutanée, l'utilisation de la marque 2 étant associée à un taux d'éruption cutanée significativement plus élevé (IRR 1,70, IC à 95 % 1,31–2,22, p < 0,001) comparativement à la marque 3. Bien que la marque 1 ait également présenté un taux d'éruption cutanée plus élevé comparativement à la marque 3, cette différence n'était plus statistiquement significative (IRR 1,22, IC à 95 % 0,93–1,60, p < 0,152). Comparativement aux premiers bébés, les bébés suivants avaient un taux d'éruption cutanée plus élevé (IRR 1,89, IC à 95 % : 1,50-2,38, p < 0,001) et ceux dont le revenu familial était supérieur à la moyenne avaient également un taux plus élevé de DID (IRR 2,59, IC à 95 % : 1,97-3,41).
3.3. Fidélité au traitement
La fidélité a été mesurée par le nombre de jours d'utilisation exclusive de la marque de lingettes attribuée pour le nettoyage du siège de change. Globalement, 59,5 % des participants ont déclaré une fidélité totale à la marque de lingettes qui leur avait été attribuée. Par ailleurs, 28,3 % ont utilisé une autre méthode de nettoyage pendant 1 à 5 jours ; 12,2 % ont déclaré l'avoir utilisée pendant plus de 5 jours et 2 % pendant plus de 10 jours. Parmi les autres méthodes utilisées, on retrouve le coton et l'eau (utilisés au moins une fois par 25,5 % des participants), une autre marque de lingettes (12,9 %), l'eau seule (11,5 %) ou toute autre méthode (6,6 %). Aucune différence de fidélité n'a été observée entre les groupes (χ²Z = 3,03, p = 0,22).

4. Débat
4.1. Résultat principal
Cette étude visait à comparer l'impact de trois marques de lingettes pour bébé sur la déficience intellectuelle. L'une d'entre elles, la marque 3, contenait moins d'ingrédients que les deux autres. Les résultats ont montré que les bébés nettoyés avec la marque 3 étaient moins susceptibles de présenter une déficience intellectuelle cliniquement significative que ceux nettoyés avec les deux autres marques.

4.2. Points forts et limites
Comme il était impossible de dissimuler les marques reçues des participantes, la possibilité que leurs observations de l'érythème fessier (EF) aient été influencées par leurs perceptions ou expériences antérieures avec certaines marques de lingettes est reconnue. L'erreur de mesure, source potentielle de biais, a été réduite grâce à la collecte en temps réel (plutôt que rétrospective) des données relatives à l'EF. La grande majorité des participantes éligibles (97 %) ont été incluses dans l'étude et leurs données ont été analysées. Toutes ont fourni des observations quotidiennes continues de l'état cutané de leur nourrisson pendant 55 jours. Ce taux élevé de participation et d'adhésion au protocole s'explique par deux facteurs : des incitations sous forme de couches et de lingettes gratuites, et la facilité d'utilisation de l'application pour smartphone, qui rappelait aux parents de soumettre leurs observations quotidiennes et était simple et rapide à utiliser. L'utilisation des rapports quotidiens des mères était novatrice et a apporté des avantages importants. Les études britanniques antérieures sur l'érythème fessier reposaient sur une unique enquête rétrospective auprès des parents4,5 ou sur une évaluation unique ou répétée par un professionnel de santé11. Bien que certaines études aient porté sur des échantillons nettement plus importants6, aucune n'avait jusqu'alors recueilli autant de données auprès d'un large échantillon de nourrissons. Les mères pouvaient déclarer quotidiennement l'érythème fessier, en temps réel, via une interface intuitive sur leur smartphone. Cette interface comportait des tableaux de référence permettant d'évaluer la dysfonction érectile (DE) sur une échelle à cinq points. Grâce à cette méthode de collecte de données en temps réel, reconnue comme plus précise que les méthodes rétrospectives18, les mères pouvaient ainsi observer quotidiennement l'état de la peau de leur bébé et adapter leurs habitudes de nettoyage. Il en résulte un ensemble de données sur la DE qui, à la connaissance des auteurs, est le plus complet à ce jour pour les jeunes nourrissons. L'absence d'intervention directe d'un professionnel de santé, notamment de visites en clinique, a probablement favorisé la fidélisation des participantes, contribuant ainsi au taux élevé de participation à l'étude.
4.3. Prévalence des déficiences intellectuelles et développementales
La prévalence des troubles du développement intellectuel (TDI) observée dans cette étude au cours des huit premières semaines de vie (24,6 %) est proche de celle d'une étude britannique antérieure5, qui avait constaté une prévalence de 25 % (sur un échantillon de 12 103 nourrissons), et supérieure à celle d'une autre étude britannique4, dont le taux de prévalence était de 16 % (sur un échantillon de 532 nourrissons). Ces différences pourraient être d'ordre méthodologique, les techniques de mesure des TDI n'ayant pas été uniformes. Aucune de ces études antérieures n'a recueilli de données quotidiennes ; elles ont plutôt utilisé des questionnaires rétrospectifs à quatre semaines5 ou jusqu'à deux ans4. Il est donc difficile de conclure si la prévalence était élevée, faible ou typique dans cet échantillon. Il est également important de noter la distinction entre les différents degrés de gravité des TDI. Dans cette étude, le critère d'évaluation principal était un TDI cliniquement significatif, défini comme un grade 3 ou plus sur une échelle de 5 points. Les formes sévères d'IDD (grades 4 et 5) étaient rares (2,4 % des participants ont signalé une éruption cutanée sévère). Les études futures devraient prendre en compte la gravité de l'IDD.

5. Conclusion
Cette étude à grande échelle, menée auprès de nourrissons de la naissance à huit semaines répartis aléatoirement en différents groupes utilisant différentes marques de lingettes pour bébé, est la première à démontrer un lien entre la composition des lingettes et l'incidence de troubles cutanés cliniquement significatifs. Les nourrissons nettoyés avec la marque contenant moins d'ingrédients ont présenté une durée d'éruption cutanée significativement plus courte. Cependant, il est impossible de déterminer si cette différence est due à l'inclusion ou à l'exclusion d'un ingrédient spécifique. La méthodologie de l'étude a été bien acceptée par les soignants, comme en témoignent le taux de participation élevé et la volonté des participants de fournir un ensemble complet d'observations quotidiennes.
Bien que le sexe, le revenu familial, la parité et, possiblement, l'origine ethnique soient des facteurs prédictifs de déficience intellectuelle, cette recherche n'avait pas pour objectif d'expliquer l'importance de ces facteurs. De futures études permettraient d'explorer des facteurs tels que les différences culturelles ou biologiques, les différences dans les pratiques de soins entre les mères ayant déjà eu des enfants, et les raisons pour lesquelles un revenu plus élevé est associé à des taux plus élevés de déficience intellectuelle. Distinguer les différences culturelles des différences biologiques nécessiterait de se concentrer sur l'origine ethnique du nourrisson, plutôt que sur celle de la mère, comme cela a été fait dans cette étude.
Des études complémentaires sont recommandées pour évaluer l'érythème fessier sur une période plus longue, idéalement jusqu'à ce que l'enfant soit propre. Étant donné que les participants à cette étude utilisaient une seule marque de couches jetables, les études futures pourraient explorer l'utilisation de différentes marques ou types de couches, notamment les couches biodégradables et les couches lavables.
Contributions des auteurs
FMP, JL et PAC ont conçu l'étude et rédigé le protocole. PAC a élaboré le plan de gestion des données (PGD) et le plan d'analyse statistique (PAS). JAJ a géré l'étude et contribué à la rédaction de la documentation, notamment des protocoles de distribution du matériel aux participants. ADP a effectué le travail de terrain quotidien, l'analyse préliminaire des données et préparé le rapport de recherche destiné aux financeurs commerciaux. AMCC et PAC ont analysé les principaux résultats. FMP a révisé le rapport de recherche final pour cet article, et tous les auteurs ont contribué à la version finale.
Éthique
L'approbation éthique universitaire pour cette étude, sous le code d'identification HSR1617-181, a été accordée le 20/10/2017. L'approbation du Service national d'éthique de la recherche (NRES) a été accordée le 20/02/2018, sous le numéro de projet IRAS 235164 et la référence REC 18/NE/0060.
Consentement à la publication
Les participants ont été informés de l'intention de publier les données de l'étude, mais ont reçu l'assurance qu'aucun identifiant ne permettrait de les relier à une personne en particulier. Tous les participants ont signé un formulaire de consentement après avoir reçu une explication orale de l'étude et de leur rôle. Les chercheurs ont remis à chaque participant un document confirmant son consentement écrit.
Disponibilité des données et des matériaux
Les données étayant les conclusions de cette étude peuvent être obtenues auprès d'Irish Breeze. Leur utilisation est soumise à restrictions, car la propriété des données quantitatives appartient au financeur commercial en vertu d'obligations contractuelles et elles ne sont donc pas accessibles au public. Cependant, les auteurs peuvent les fournir sur demande justifiée et avec l'autorisation d'Irish Breeze.
Déclaration de conflit d'intérêts
L'un des auteurs, le Dr F. MacVane Phipps, chercheur principal de l'étude BaSICS, est retraité, mais reçoit un financement d'Irish Breeze, République d'Irlande, en échange d'une rémunération journalière de conférencier, afin qu'il puisse participer à l'équipe de rédaction et faciliter la publication de cet article.
L'étude a été financée par Irish Breeze, et sa marque, WaterWipes, était la marque 3. Les auteurs ne sont pas autorisés à nommer les deux marques de comparaison ; ce sont des produits largement disponibles, populaires auprès des mères et présentés comme suffisamment doux pour être utilisés sur les nouveau-nés.
Expressions de gratitude
Nous remercions Sarah Fitchett, professeure de soins infirmiers néonatals, pour la conception du questionnaire et des fiches d'information destinées aux participants ; Alison Mitchell, professeure d'obstétrique et spécialiste néonatale avancée, et Kathleen Holt, professeure d'obstétrique et spécialiste néonatale avancée (à la retraite), pour leur contribution en tant que spécialistes néonatales aux discussions et négociations initiales au sein du comité consultatif du projet ; et nous adressons des remerciements particuliers au professeur Simon Mitchell, néonatologue consultant au Manchester University NHS Trust, pour ses précieux conseils lors des premières étapes de l'élaboration de cette étude.
Annexe A. Données supplémentaires
Des données supplémentaires pour cet article peuvent être trouvées en ligne à l'adresse https://doi.org/10.1016/j.pedneo.2020.10.003.
Références
- Morris H. Conclusions sur la dermatite du siège. Br J Midwifery 2012; 20:623e6.
- Odueko OM, Onayemi O, Oyedeji GA. Une étude de prévalence des maladies de la peau chez les enfants nigérians. Niger J Med 2001;10:64e7.
- Longhi F, Carlucci G, Bellucci R, Di Girolamo R, Palumbo G, Amerio P. Dermatite des couches : une étude des facteurs contributifs. Dermatite de contact 1992;26:248e52.
- Adalat S, Wall D, Goodyear H. Dermatite du siège : fréquence et facteurs contributifs chez les enfants hospitalisés. Pediatr Dermatol 2007;24:483e8.
- Philipp R, Hughes A, Golding J. Comprendre les causes de l'érythème fessier. Équipe de l'enquête ALSPAC. Étude longitudinale d'Avon sur la grossesse et la petite enfance. Br J Gen Pract 1997;47:493e7.
- Ward DB, Fleischer AB, Feldman SR, Krowchuk DP. Caractérisation de la dermatite du siège aux États-Unis. Arch Pediatr Adolesc Med 2000;154:943e6.
- Jordan WE, Lawson KD, Berg RW, Franxman JJ, Marrer AM. Dermatite du siège : fréquence et gravité dans une population générale d’enfants. Pediatr Dermatol 1986;3:198-207.
- Li CH, Zhu ZH, Dai YH. Dermatite du siège : une étude des facteurs de risque chez les enfants âgés de 1 à 24 mois en Chine. J Int Med Res 2012;40:1752e60.
- Kayaoglu S, Kivanc-Altunay I, Sarikaya S. Dermatite du siège chez les nourrissons admis dans un centre de santé pédiatrique social : rôle des facteurs sociodémographiques et des soins aux enfants. Indian J Pediatr 2015;82:904e8.
- Visscher M, Odio M, Taylor T, White T, Sargent S, Sluder L, et al. Soins de la peau chez le patient en soins intensifs néonatals : effets des lingettes par rapport au tissu et à l’eau sur l’intégrité de la couche cornée. Néonatologie 2009 ;96 :226e34.
- Lavender T, Furber C, Campbell M, Victor S, Roberts I, Bedwell C, et al. Effet de l'utilisation de lingettes pour bébé pour nettoyer la zone du siège des nouveau-nés sur l'hydratation cutanée : un essai d'équivalence contrôlé randomisé avec un évaluateur en aveugle. BMC Pediatr 2012;12:59.
- Odio M, Streicher-Scott J, Hansen RC. Lingettes pour bébé jetables : efficacité et douceur sur la peau. Dermatol Nurs 2001;13:107-12, 117-8, 121.
- Atherton DJ. Comprendre la dermatite irritante due aux compresses. Int J Dermatol 2016;55:7e9. 144 AD Price et al.
- NICE. Érythème fessier. 2018. Disponible sur https://cks.nice.org.uk/topics/nappy-rash/. Consulté le 2 juillet 2020.
- Comparatif des meilleures lingettes pour bébé WaterWipes. Disponible sur www.motherandbaby.co.uk/reviews-and-shop/toiletries/babywipes/waterwipes-best-baby-wipes. Consulté le 2 juillet 2020.
- Agence européenne des médicaments. Ajustement des covariables initiales dans les essais cliniques. Disponible sur : https://www.ema.europa.eu/en/adjustment-baseline-covariates-clinical-trials . Consulté le 2 juillet 2020.
- Office for National Statistics. Données agrégées du recensement de 2011. Disponibles à l'adresse : https://census.ukdataservice.ac.uk/get-data/aggregate-data.aspx. Consulté le 2 juillet 2020.
- Monk RL, Heim D, Qureshi A, Price A. « Je n’ai aucune idée de ce que j’ai bu hier soir » : Utilisation de la technologie des smartphones pour comparer les auto-déclarations de consommation d’alcool in vivo et rétrospectives. PLoS One 2015 ;10 :e0126209.
Abréviations
BaSICS : Étude comparative de l’intégrité cutanée chez le nourrisson
IDD : érythème fessier irritant
IRR IC : Intervalles de confiance du rapport des taux d’incidence
Étude comparative sur l'intégrité de la peau du bébé 145
Des soins experts pour chaque histoire de peau délicate
Des conseils de change quotidiens aux études approfondies sur la science de la peau, explorez nos guides Conseils & Soins et notre Skin Care Hub dédié ! 💧✨